Lompat ke konten Lompat ke sidebar Lompat ke footer

Nilai X+Y Dari Persamaan Matriks 2X 4 : 60 Soal Dan Pembahasan Matematika Dasar Sma Matriks Defantri Com : Kpk dari 2 dan 1 adalah 2.

Nilai X+Y Dari Persamaan Matriks 2X 4 : 60 Soal Dan Pembahasan Matematika Dasar Sma Matriks Defantri Com : Kpk dari 2 dan 1 adalah 2.. Supaya dapat menyelesaikan persamaan matriks yang berbentuk xa = b bisa ditentukan dengan cara mengalikan kedua ruasnya dari kanan. Langkah pertama untuk menentukan himpunan penyelesaian spltv di atas adalah. Penyelesaian dari sistem persamaan 3 x y 4 2 x 3 y 9 adalah x dan y 0nilai y x from isys 6507 at binus university. 2x = 1 atau x = 1 2 dan 7y = 7 atau y = 1. Jumlah total roda kendaraan adalah 56 di mana adalah 4 sehingga persamaan linearnya adalah 2x + y = 56.

Dengan menggunakan rumus penjelasan persamaan matriks di atas, diperoleh sebagai berikut. Diketahui persamaan matriks berikut 21122 1nilai dari x y z a 4d 10b 5e 15c 8la 2lc brainly co id. Jika matriks c = dan matriks d mempunyai hubungan yang serupa seperti a dengan b, maka matriks c + d adalah. Prinsip kesamaan matriks umumnya dihubungkan dengan persamaan matematika lainnya seperti persamaan linear dua variabel, persamaan kuadrat, eksponensial, logaritma, ataupun trigonometri. Tentukan penyelesaian dari sistem persamaan linear berikut dengan cara matriks.

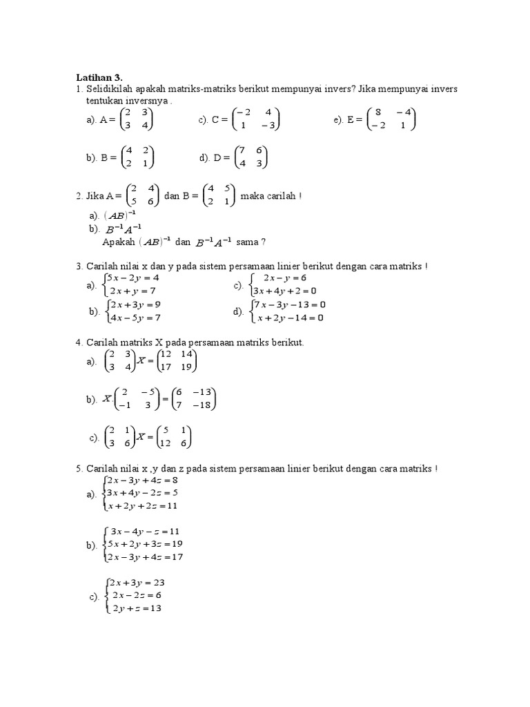
60 Soal Dan Pembahasan Matematika Dasar Sma Matriks Defantri Com
60 Soal Dan Pembahasan Matematika Dasar Sma Matriks Defantri Com from 4.bp.blogspot.com
Kpk dari 2 dan 1 adalah 2. Matriks a = mempunyai hubungan dengan matriks b =. Prinsip kesamaan matriks pada umumnya digunakan untuk menentukan komponen pada sel tertentu atau menentukan variabel yang terdapat dalam komponen penyusun matriks. Cara menentukan nilai x (elemen matriks), yaitu: Tentukan penyelesaian dari sistem persamaan linear berikut dengan cara matriks. Alif membeli 3 buku dan 5 bolpoint. Matriks b berukuran 2 x 33. Kali ini kita akan selesaikan persamaan linear 3 variabel dengan ketiga cara diatas.

Langkah pertama kita ubah persamaan diatas menjadi sebuah matriks 3 x 3.

2x/2 = x dan 16/2 = 8, sehingga x = 8. Pembahasan masih tentang kesamaan dua buah matriks ditambah tentang materi bentuk pangkat, mulai dari persamaan yang lebih mudah dulu: Supaya dapat menyelesaikan persamaan matriks yang berbentuk xa b bisa ditentukan dengan cara mengalikan kedua ruasnya dari. Perkalian dua buah matriks soal no. Prinsip kesamaan matriks umumnya dihubungkan dengan persamaan matematika lainnya seperti persamaan linear dua variabel, persamaan kuadrat, eksponensial, logaritma, ataupun trigonometri. Tia membayar rp32.000,00 untuk membeli 8 buku dan 4 bolpoint. 2x + y = 4 x + 3y = 7 jawab: 2x = 1 atau x = 1 2 dan 7y = 7 atau y = 1. Penyelesaian dari sistem persamaan 3 x y 4 2 x 3 y 9 adalah x dan y 0nilai y x from isys 6507 at binus university. X + y = 20. Matriks a = mempunyai hubungan dengan matriks b =. Jika nilai x yang di cari merupakan persamaan pecahan pada kasus ini, anda bisa menggunakan cara sesuai metode yang di gunakan pada kasus 1 dan menggunakan prinsip dasar pecahan. Ambil koefisien dari tiap tiap persamaan diatas sehingga menjadi matriks berordo 3 x 3.

2x + y = 7 x + 3y = 7 jawab: Bahasan disertai dengan contoh soal beserta pembahasan yang dapat digunakan untuk meningkatkan kemampuan dan pemahaman materi. Dengan menggunakan rumus penjelasan persamaan matriks di atas, diperoleh sebagai berikut. 2x = 1 atau x = 1 2 dan 7y = 7 atau y = 1. Cara menentukan nilai x (elemen matriks), yaitu:

Tentukan Nilai X Dan Y Dari Persamaan Matriks Berikut
Tentukan Nilai X Dan Y Dari Persamaan Matriks Berikut from studyassistant-id.com
Demikianlah ulasan materi cara mencari nilai x dan y pada matriks. Carilah nilai x dan y dari persamaan berikut 1. Tentukan penyelesaian sistem persamaan linear berikut ini dengan metode determinan dan invers matriks. Nilai x + y adalah. Berapa nilai x dari persamaan berikut 2(2x + 3) = 14 jawab: X + 2y = 5 dan 2x + 3y = 8 b. Jika terdapat variabel dalam elemen matriks, kalikan seperti perkalian aljabar. Langkah pertama kita ubah persamaan diatas menjadi sebuah matriks 3 x 3.

Dy, dan dz kita akan menentukan nilai x, y, dan z dengan cara :

Jadi, diperoleh penyelesaian x = 1 dan y = 2. 2x + y = 4 x + 3y = 7 jawab: Hal terakhir yang harus kamu lakukan untuk mencari nilai x adalah dengan memisahkan variabelnya dengan membagi kedua sisi persamaan dengan angka 2, koefisien variabel x. Tempat parkir dapat menampung 20 buah kendaraan motor dan mobil, maka persamaan linearnya adalah x+y=20. Langkah pertama kita ubah persamaan diatas menjadi sebuah matriks 3 x 3. X + y = 20. 2x/2 = x dan 16/2 = 8, sehingga x = 8. 2x + 3y = 13. Perkalian dua buah matriks soal no. Bahasan disertai dengan contoh soal beserta pembahasan yang dapat digunakan untuk meningkatkan kemampuan dan pemahaman materi. Matriks a = mempunyai hubungan dengan matriks b =. Tentukan penyelesaian dari sistem persamaan linear berikut dengan cara matriks. Dari persamaan di atas dapat kita susun menjadi bentuk matriks sebagai berikut.

Supaya dapat menyelesaikan persamaan matriks yang berbentuk xa b bisa ditentukan dengan cara mengalikan kedua ruasnya dari. Tia membayar rp32.000,00 untuk membeli 8 buku dan 4 bolpoint. Jika matriks c = dan matriks d mempunyai hubungan yang serupa seperti a dengan b, maka matriks c + d adalah. Carilah nilai x dan y dari persamaan berikut 1. Ambil koefisien dari tiap tiap persamaan diatas sehingga menjadi matriks berordo 3 x 3.

Konten Belajar Konten Motivator Konten Solusi Penyelesaian Konten Anak Muda
Konten Belajar Konten Motivator Konten Solusi Penyelesaian Konten Anak Muda from 1.bp.blogspot.com
Matriks b berukuran 2 x 33. Diketahui persamaan matriks diatas nilai x y brainly co id. Penyelesaian dari sistem persamaan 3 x y 4 2 x 3 y 9 adalah x dan y 0nilai y x from isys 6507 at binus university. Alif membeli 3 buku dan 5 bolpoint. X + 2y = 5 dan 2x + 3y = 8 b. Dy, dan dz kita akan menentukan nilai x, y, dan z dengan cara : Berapa nilai x dari persamaan berikut 2(2x + 3) = 14 jawab: 2x + y = 4 x + 3y = 7 jawab:

8 12 18 20 22 penyelesaian :

Jika matriks c = dan matriks d mempunyai hubungan yang serupa seperti a dengan b, maka matriks c + d adalah. Matriks b berukuran 2 x 33. Berapa nilai x dari persamaan berikut 2(2x + 3) = 14 jawab: Jika nilai x yang di cari merupakan persamaan pecahan pada kasus ini, anda bisa menggunakan cara sesuai metode yang di gunakan pada kasus 1 dan menggunakan prinsip dasar pecahan. 5 tentukan determinan dari matriks a berikut ini pembahasan 2x/2 = x dan 16/2 = 8, sehingga x = 8. Koefisien x dari persamaan pertama adalah 2 dan koefisien x dari persamaan kedua adalah 1. Untuk mendapatkan nilai y, maka variabel x haruslah dihilangkan. Tentukan penyelesaian dari sistem persamaan linear berikut dengan cara matriks. X + y = 3 + (− 3/4) = 2 1/4 = 9/4 11. Tentukan penyelesaian dari sistem persamaan linear berikut dengan cara matriks. Alif membeli 3 buku dan 5 bolpoint. A + b + x + y = 3 + 5 + 6 + 2 = 16 soal no.

Posting Komentar untuk "Nilai X+Y Dari Persamaan Matriks 2X 4 : 60 Soal Dan Pembahasan Matematika Dasar Sma Matriks Defantri Com : Kpk dari 2 dan 1 adalah 2."